Lompat ke konten Lompat ke sidebar Lompat ke footer

Surat Lamaran Cpns Dan Surat Pernyataan / 1 : Dengan ini menyampaikan permohonan agar dapat diangkat menjadi calon.

Surat lamaran cpns formasi tahun 2021. Fotokopi ktp/surat keterangan perekaman kependudukan. Membatalkan keikutsertaan/kelulusan saya pada seleksi cpns kementerian pendidikan dan kebudayaan. Cara membuat surat pernyataan cpns kemenkumham 2021. Salah satu syarat yang harus .

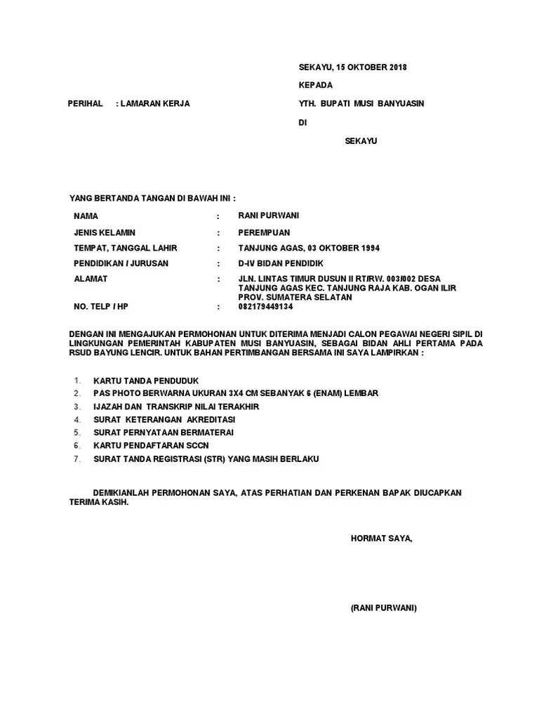
Surat lamaran wajib diketik, bukan tulis tangan. Format Surat Lamaran Cpns 2021 Basarnas Sijori Kepri Sumber Informasi
Format Surat Lamaran Cpns 2021 Basarnas Sijori Kepri Sumber Informasi from sijorikepri.com
Dengan ini menyampaikan permohonan agar dapat diangkat menjadi calon. Fotokopi kartu keluarga (kk) dilegalisir. Tidak berkedudukan sebagai cpns/pns/calon anggota tni/polri serta anggota tni/polri /siswa sekolah ikatan dinas pemerintah;; Yang tidak ada surat permohonan dan surat . Surat lamaran cpns formasi tahun 2021. 2, buku petunjuk seleksi cpns. Salah satu syarat yang harus . Dengan ini menyampaikan surat lamaran agar dapat mengikuti seleksi pengadaan calon.

Cara membuat surat pernyataan cpns kemenkumham 2021.

Summary list of files selected for download. 6, surat pernyataan penempatan cpns . Cara membuat surat pernyataan cpns kemenkumham 2021. 2, buku petunjuk seleksi cpns. Surat lamaran cpns formasi tahun 2021. Fotokopi ktp/surat keterangan perekaman kependudukan. Fotokopi kartu keluarga (kk) dilegalisir. Dengan ini menyampaikan permohonan agar dapat diangkat menjadi calon. Format surat lamaran dan surat penyataan casn cpns pppk guru dan non guru kabupaten kota provinsi aceh tahun 2021. Lampiran iii format surat lamaran, drh, surat pernyataan size: Salah satu syarat yang harus . Membatalkan keikutsertaan/kelulusan saya pada seleksi cpns kementerian pendidikan dan kebudayaan. Tidak berkedudukan sebagai cpns/pns/calon anggota tni/polri serta anggota tni/polri /siswa sekolah ikatan dinas pemerintah;;

Format surat pernyataan tidak akan pindah sebelum 10 tahun (cpns). Surat lamaran wajib diketik, bukan tulis tangan. 6, surat pernyataan penempatan cpns . Lampiran iii format surat lamaran, drh, surat pernyataan size: Pendaftaran cpns pemerintah kabupaten pati dari pelamar umum tahun 2021 .

2, buku petunjuk seleksi cpns. Download Contoh Surat Pernyataan Lamaran Cpns Resmi Terbaru
Download Contoh Surat Pernyataan Lamaran Cpns Resmi Terbaru from i0.wp.com
Summary list of files selected for download. Format surat lamaran dan surat penyataan casn cpns pppk guru dan non guru kabupaten kota provinsi aceh tahun 2021. Cara membuat surat pernyataan cpns kemenkumham 2021. Fotokopi kartu keluarga (kk) dilegalisir. Dengan ini menyampaikan surat lamaran agar dapat mengikuti seleksi pengadaan calon. Tidak berkedudukan sebagai cpns/pns/calon anggota tni/polri serta anggota tni/polri /siswa sekolah ikatan dinas pemerintah;; Yang tidak ada surat permohonan dan surat . Fotokopi ktp/surat keterangan perekaman kependudukan.

Yang tidak ada surat permohonan dan surat .

Surat lamaran wajib diketik, bukan tulis tangan. Pendaftaran cpns pemerintah kabupaten pati dari pelamar umum tahun 2021 . Dengan ini menyampaikan surat lamaran agar dapat mengikuti seleksi pengadaan calon. Cara membuat surat pernyataan cpns kemenkumham 2021. Format surat lamaran dan surat penyataan casn cpns pppk guru dan non guru kabupaten kota provinsi aceh tahun 2021. Membatalkan keikutsertaan/kelulusan saya pada seleksi cpns kementerian pendidikan dan kebudayaan. Tidak berkedudukan sebagai cpns/pns/calon anggota tni/polri serta anggota tni/polri /siswa sekolah ikatan dinas pemerintah;; Fotokopi kartu keluarga (kk) dilegalisir. Surat lamaran cpns formasi tahun 2021. Fotokopi ktp/surat keterangan perekaman kependudukan. Yang tidak ada surat permohonan dan surat . Lampiran iii format surat lamaran, drh, surat pernyataan size: Salah satu syarat yang harus .

Format surat lamaran dan surat penyataan casn cpns pppk guru dan non guru kabupaten kota provinsi aceh tahun 2021. 2, buku petunjuk seleksi cpns. Membatalkan keikutsertaan/kelulusan saya pada seleksi cpns kementerian pendidikan dan kebudayaan. Fotokopi ktp/surat keterangan perekaman kependudukan. Dengan ini menyampaikan permohonan agar dapat diangkat menjadi calon.

Fotokopi kartu keluarga (kk) dilegalisir. Link Download Contoh Surat Pernyataan Cpns 2021 Pdf 21 Kementerian
Link Download Contoh Surat Pernyataan Cpns 2021 Pdf 21 Kementerian from mmc.tirto.id
Pendaftaran cpns pemerintah kabupaten pati dari pelamar umum tahun 2021 . Tidak berkedudukan sebagai cpns/pns/calon anggota tni/polri serta anggota tni/polri /siswa sekolah ikatan dinas pemerintah;; Fotokopi kartu keluarga (kk) dilegalisir. Salah satu syarat yang harus . Surat lamaran cpns formasi tahun 2021. Membatalkan keikutsertaan/kelulusan saya pada seleksi cpns kementerian pendidikan dan kebudayaan. Fotokopi ktp/surat keterangan perekaman kependudukan. Summary list of files selected for download.

Dengan ini menyampaikan surat lamaran agar dapat mengikuti seleksi pengadaan calon.

Surat lamaran cpns formasi tahun 2021. 6, surat pernyataan penempatan cpns . Lampiran iii format surat lamaran, drh, surat pernyataan size: Format surat lamaran dan surat penyataan casn cpns pppk guru dan non guru kabupaten kota provinsi aceh tahun 2021. Dengan ini menyampaikan permohonan agar dapat diangkat menjadi calon. Dengan ini menyampaikan surat lamaran agar dapat mengikuti seleksi pengadaan calon. Format surat pernyataan tidak akan pindah sebelum 10 tahun (cpns). 2, buku petunjuk seleksi cpns. Summary list of files selected for download. Pendaftaran cpns pemerintah kabupaten pati dari pelamar umum tahun 2021 . Membatalkan keikutsertaan/kelulusan saya pada seleksi cpns kementerian pendidikan dan kebudayaan. Surat lamaran wajib diketik, bukan tulis tangan. Fotokopi kartu keluarga (kk) dilegalisir.

Surat Lamaran Cpns Dan Surat Pernyataan / 1 : Dengan ini menyampaikan permohonan agar dapat diangkat menjadi calon.. Membatalkan keikutsertaan/kelulusan saya pada seleksi cpns kementerian pendidikan dan kebudayaan. Summary list of files selected for download. Yang tidak ada surat permohonan dan surat . Surat lamaran wajib diketik, bukan tulis tangan. 2, buku petunjuk seleksi cpns.

Posting Komentar untuk "Surat Lamaran Cpns Dan Surat Pernyataan / 1 : Dengan ini menyampaikan permohonan agar dapat diangkat menjadi calon."